9888À­Ë¹Î¬¼Ó˹

9888À­Ë¹Î¬¼Ó˹(¹É·Ý)ÓÐÏÞ¹«Ë¾-¹Ù·½ÍøÕ¾
ÎÒÃǵķþÎñ

×÷ΪÖйúµÚÈý·½¼ì²âÓëÈÏÖ¤·þÎñµÄ¿ªÍØÕߺÍÁìÏÈÕߣ¬CTI9888À­Ë¹Î¬¼Ó˹¼ì²âΪȫÇò¿Í»§ÌṩһվʽĥÁ·¡¢²âÊÔ¡¢Ð£×¼¡¢ÈÏÖ¤¼°ÊÖÒÕ·þÎñ¡£

9888À­Ë¹Î¬¼Ó˹(¹É·Ý)ÓÐÏÞ¹«Ë¾-¹Ù·½ÍøÕ¾
ÐÐÒµ½â¾ö¼Æ»®

·þÎñÄÜÁ¦ÒÑÖÜÈ«ÁýÕÖµ½·ÄÖ¯´ò°ç¼°Ð¬°ü¡¢Ó¤Í¯Íæ¾ß¼°¼Ò¾ÓÉúÑÄ¡¢µç×ÓµçÆ÷¡¢Ò½Ñ§¿µ½¡¡¢Ê³Îï¼°Å©²úÆ·……µÈÐÐÒµµÄ¹©Ó¦Á´ÉÏÏÂÓΡ£

9888À­Ë¹Î¬¼Ó˹(¹É·Ý)ÓÐÏÞ¹«Ë¾-¹Ù·½ÍøÕ¾
ÌØÉ«·þÎñ

ÖÜÈ«°ü¹ÜÆ·ÖÊÓëÇå¾²£¬Íƶ¯ºÏ¹æÓëÁ¢Ò죬ÕÃÏÔÆ·ÅƾºÕùÁ¦£¬ÊµÏÖ¸ü¸ßÖÊÁ¿¡¢¸ü¿µ½¡¡¢¸üÇå¾²¡¢¸üÂÌÉ«µÄ¿ÉÒ»Á¬Éú³¤¡£

¼ÓÈëÎÒÃÇ
È˲ÅÕþ²ß
ÕÐÏÍÄÉÊ¿
9888À­Ë¹Î¬¼Ó˹(¹É·Ý)ÓÐÏÞ¹«Ë¾-¹Ù·½ÍøÕ¾
È˲ÅÕþ²ß
°ü¹ÜÔ±¹¤»ù±¾È¨ÒæÓ븣Àû£»ÌṩרҵÊÖÒÕÅàѵ£¬Ôö½øÔ±¹¤Éú³¤£»¿ªÕ¹¸»ºñ¶à²ÊµÄ»î¶¯£¬Æ½ºâÔ±¹¤ÊÂÇéÓëÉúÑÄ¡£
9888À­Ë¹Î¬¼Ó˹(¹É·Ý)ÓÐÏÞ¹«Ë¾-¹Ù·½ÍøÕ¾
ÕÐÏÍÄÉÊ¿
½Ó´ý¼ÓÈë9888À­Ë¹Î¬¼Ó˹¼ì²â¸÷ÈËÍ¥£¬ÎÒÃǽ«ÎªÄã´î½¨Ò»¸ö³ä·ÖÑéÕ¹²Å»ª£¬ÊµÏÖÖ°ÒµÀíÏëµÄÎę̀¡£
9888À­Ë¹Î¬¼Ó˹(¹É·Ý)ÓÐÏÞ¹«Ë¾-¹Ù·½ÍøÕ¾
ÐÂÎÅ×ÊѶ

¼ì²âÄÜÁ¦ | ¿¹»µÑªËáרéµËáõ¥Ä¥Á·ÄÜÁ¦Ñз¢ÀÖ³É

Ðû²¼Ê±¼ä£º2023-11-30 ä¯ÀÀ´ÎÊý£º2668

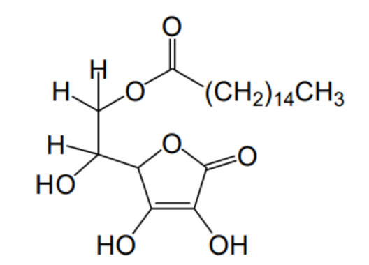
¿¹»µÑªËáרéµËáõ¥£¬ÓÖÃûL-¿¹»µÑªËáרéµËáõ¥£¨L-ascorbyl palmitate£¬¼ò³ÆL-AP£©£¬ÆäÊôÓÚάÉúËØCµÄÖ¬·¾Ëáõ¥ÑÜÉúÎÏà±È¿¹»µÑªËá¾ßÓиüÎȹ̣¨Äͳ±¡¢ÄÍÈÈ¡¢Ä͹⣩µÄÐÔ×Ó¡£

 

 

¿¹»µÑªËáרéµËáõ¥ÒÀ¾Ý¡¶GB 2760-2014ʳÎïÌí¼Ó¼ÁʹÓñê×¼¡·µÄ»®¶¨£¬¿ÉÒÔ×÷ΪһÖÖʳÎïÌí¼Ó¼Á——¿¹Ñõ»¯¼Á¡£L-APÊÇʳÎï¡¢»¯×±Æ·µÈÁìÓòÓÅÁ¼µÄ¿¹Ñõ»¯¼Á£¬ÉÙÁ¿µÄL-APÌí¼Ó¼´¿ÉµÖ´ï¿¹Ñõ»¯µÄ×÷Óá£Í¬Ê±£¬¸ÃÎïÖÊÒ²ÊÇÓªÑøÇ¿»¯¼ÁάÉúËØCµÄ»¯ºÏÎïȪԴÒòËØÖ®Ò»£¬ÔÚ¡¶GB 14880-2012ʳÎïÓªÑøÇ¿»¯¼ÁʹÓñê×¼¡·ÖУ¬Ã¸·¨ÖƵõĿ¹»µÑªËáרéµËáõ¥ÊÇάÉúËØCµÄ»¯ºÏÎïȪԴ֮һ£¬Æä¿ÉÒÔÓÃÓÚͨË×ʳÎïÒÔ¼°ÌØÊâÉÅʳÓÃʳÎï¡£±ðµÄ£¬¿¹»µÑªËáרéµËáõ¥±»ÁÐÈëÁË¡¶±£½¡Ê³ÎïÖÊÁÏĿ¼ ÓªÑøËØÔö²¹¼Á¡·×÷ΪάÉúËØCµÄ»¯ºÏÎïȪԴ£¬¸Ã±£½¡Ê³Îﱸ°¸ÖÊÁÏÊÊÓÃÈËȺÓÐÏÞÖÆ£¬½öÊʺÏ4ËêÒÔÉϵÄÈËȺʳÓã¬ÆäÖÐÔи¾ºÍÈéĸÁ½ÀàÈËȺ¶ÔÓ¦ÓÐרÊôµÄÏÞÁ¿ÒªÇó¡£

 

·þÎñÄÜÁ¦

 

9888À­Ë¹Î¬¼Ó˹¼ì²âÌØÊ³ÊµÑéÊÒÕë¶Ô¿¹»µÑªËáרéµËáõ¥£¬Ñз¢ÁËÄÚ²¿¼ì²âÒªÁ죬¸üÊÊÓÃÓÚ±£½¡Ê³Îï»ùÖʵIJúÆ·¶¨Á¿¼ì²â¡£CTI9888À­Ë¹Î¬¼Ó˹¼ì²â¿ÉΪ¸÷ÆóÒµÌṩ¸üרҵµÄʵÑéÊÖÒÕ·þÎñ£¬Îª²úÆ·µÄºÏ¹æÐÔ±£¼Ý»¤º½£¬½Ó´ý×ÉѯËͼ죡

 

ÍøÕ¾µØÍ¼